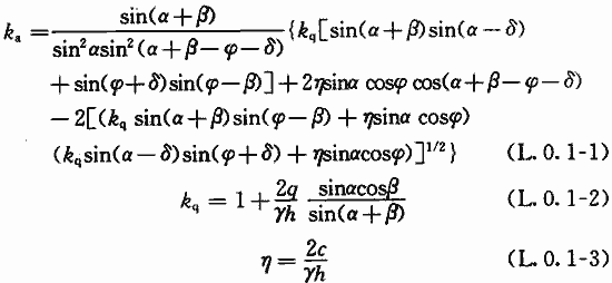
附录L 挡土墙主动土压力系数是ka L.0.1 挡土墙在土压力作用下,其主动压力系数应按下列公式计算: 式中:q——地表均布荷载(kPa),以单位水平投影面上的荷载强度计算。 图L.0.1计算简图 L. 0.2 对于高度小于或等于5m的挡土墙,当填土质量满足设计要求且排水条件符合本规范第6.7.1条的要求时,其主动土压力系数可按图L.0.2查得,当地下水丰富时,应考虑水压力的作用。 L.0.3 按图L. 0.2查主动土压力系数时,图中土类的填土质量应满足下列规定: 1 I类 碎石土,密实度应为中密及以上,干密度应大于或等于2000kg/m3; 2 Ⅱ类 砂土,包括砾砂、粗砂、中砂,其密实度应为中密及以上,干密度应大于或等于1650kg/m3; 3 Ⅲ类 黏土夹块石,干密度应大于或等于1900kg/m3; 4 Ⅳ类 粉质黏土,干密度应大于或等于1650kg/m3。 图L 0.2-1 挡土墙主动土压力系数是ka(一) (a) Ⅰ类土土压力系数(δ=1/2φ,q=0) 图L 0.2-2 挡土墙主动土压力系数是ka(二) (a) Ⅱ类土土压力系数(δ=1/2φ,q=0) 图L 0.2-3 挡土墙主动土压力系数是ka(三) (a) Ⅲ类土土压力系数(δ=1/2φ,q=0,H=5m) 图L 0.2-4 挡土墙主动土压力系数是ka(四) (a) Ⅳ类土土压力系数(δ=1/2φ,q=0,H=5m)